济源市慈善总会接收防汛救灾捐赠公示
发布:pchsjtue 时间:2021-07-27 08:16:07 浏览次数:2954
进入汛期以来,我市发生50年不遇的特大洪水灾害,部分镇村受灾严重。全市广大爱心企业、爱心企业家和社会各界伸出援手,奉献爱心。
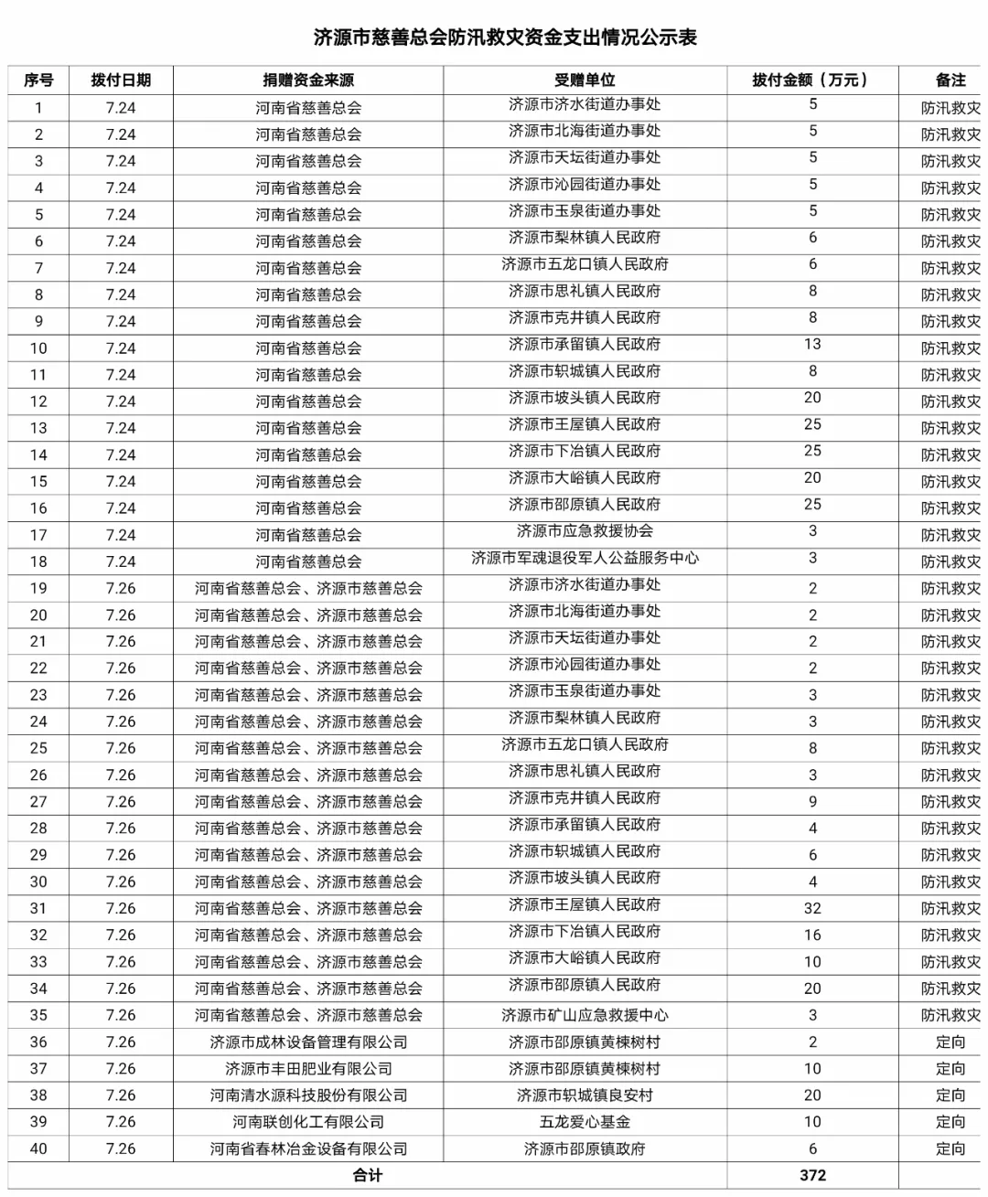
截至7月26日,济源市慈善总会共接收防汛救灾捐赠资金409.75万元、捐赠物资价值108.9万元;经示范区防汛抗旱指挥部、示范区民政局、市慈善总会会商向示范区党工委管委会主要领导汇报同意后,累计拨付资金372万元、拨付物资价值100.26万元(见附表)。
按照公开、公正、透明的原则,现将接收捐赠和使用情况公示如下:




- < 上一篇:济源市慈善总会接收支出防汛救灾捐赠公示
- 下一篇:济源市慈善总会接收防汛救灾捐赠公示 >








